こちらの復習編。
同一性の除去公理
わたくし的に気になったのは、プリンキピアでは性質に量化しているがITTではそれができないという点で、集合族を で束縛することもできるのに何故だろうと思った。しかしITTはどうも高階論理に対応するものではないので、なんかあるのだろう。
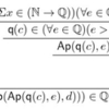
左射影規則の逆の証明
この例はティピカルだと書いてある(34ページ)が、何がティピカルなのかわからなかった。ここの段落の議論は難しくてよくわからない。
性質と要素のインデックス付族
具体的な導出がわからなかったのでまた次回。
